基本情報技術者試験の過去問と解説
[TOP] [午前分野別] [午後分野別] [キーワード索引] [令和元年秋午前] [令和元年秋午後]

平成22年 秋期 基本情報技術者 午前 問80
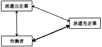
問80   派遣先企業と労働者の関係

 労働者派遣法に基づく,派遣先企業と労働者との関係(図の太線部分)はどれか。

ア 請負契約関係       イ 雇用関係

ウ 指揮命令関係       エ 労働者派遣契約関係


解答←クリックすると正解が表示されます

解説

 労働者派遣事業では、「派遣元企業と労働者」、「派遣先企業と労働者」、「派遣元企業と派遣先企業」と いう三面的契約関係となる。

 賃金の流れは、派遣元企業は労働者を雇用し賃金を支払い、 労働者は派遣先企業の指揮監督を受け労務を提供し、 派遣先企業は派遣元企業に派遣費用を支払う仕組みとなっている。

 よって、問題の図の太線部分は、「指揮命令関係」となる。


[←前の問題] [次の問題→] [問題一覧表] [分野別] [キーワード索引] [基本情報技術者試験TOP ]
©2004-2025 情報処理試験.jp |  プライバシーポリシー・著作権・リンクお問合わせ